POSTECH 민승기 교수팀, 지구 온도 상승 시 여름 길이 변화 예측
여름 팽창으로 이른 더위와 늦더위도 3배 많아져

[이넷뉴스] ‘삑, 정상 체온입니다’. 불과 몇 년 사이 식당이나 건물을 들어갈 때 체온을 재는 상황이 당연해졌다. 사람의 경우 정상 체온보다 단 1℃만 높아져도 건강이 위험하다고 여겨지기 때문이다. 그렇다면 지구의 온도가 1℃, 2℃ 높아질 경우 어떤 일이 일어날까? 최근 POSTECH 연구진은 지구의 온도 상승에 따라 달라지는 여름의 길이를 최초로 정량화했다.
POSTECH(포항공과대학교, 총장 김무환) 환경공학부 민승기 교수, 박사과정 박보정 씨 연구팀은 지구 온도가 각각 1.5℃와 2℃ 높아짐에 따라 달라지는 여름의 길이를 예측했다. 이는 대규모 앙상블 기후모델 실험자료를 이용한 결과다.
1.5℃와 2℃는 지구 온난화를 막기 위해 모인 전 세계 각국이 파리기후변화협정에서 설정한 기준 온도다. 산업혁명 이전과 비교해 지구의 평균 온도 상승 폭을 2℃ 아래로 억제하고, 나아가 1.5℃까지 제한하는 게 목표다. 현재 전 세계 평균 기온은 산업혁명 전보다 이미 1.1℃ 상승한 상태다.
0.5℃의 차이가 적어보일 수 있지만 실제 지구에 미치는 영향은 매우 크다. 지구 온도가 2℃ 오르면 1.5℃ 오를 때보다 해수면의 평균 높이가 약 10cm 높아질 것으로 예상된다. 온도 상승이 1.5℃에 그칠 경우 약 1,000만 명이 해수면 상승의 위험에서 벗어난다는 분석이다. 2°C 온난화 시 물 부족 인구도 최대 50% 늘어날 것으로 전망된다.
지구 온도 상승에 따라 달라지는 계절의 길이 역시 각국의 농업과 에너지 등 다방면에 영향을 미치는 요소다. 따라서 지구가 뜨거워지면 어느 지역에서 얼마나 여름이 길게 나타나는지에 대해서도 관심이 모인다. 그러나 지금까지는 이와 관련한 체계적인 예측 결과가 부족했다.
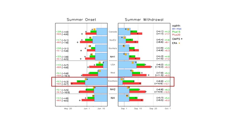
민승기 교수팀은 계절이 뚜렷하게 나타나는 북반구 육지 지역을 중심으로 지구 온도 상승에 따른 여름의 길이 변화를 분석했다. 그 결과, 2℃ 상승 시 우리나라를 포함한 동아시아와 지중해, 미국 등 중위도 지역의 여름 길이는 현재 91일(각 지역에서 1년 중 기온이 상위 25%에 해당하는 기간) 대비 20~21일 늘어나 111~112일이 될 것으로 예상됐다. 1.5℃로 온난화를 줄이면 여름의 길이 증가 폭도 12~13일로 줄어들었다(그림 1).
여름이 길어짐에 따라 이른 더위와 늦더위 발생도 더 많아졌다. 확장된 여름 기간(현재 대비 2℃ 온난화 시 늘어난 기간)에서 나타나는 이상고온 발생빈도(현재 여름 기간 평균기온을 초과하는 일수)를 분석한 결과, 동아시아를 포함한 중위도 지역에서 현재 매년 2일 정도 나타나는 이상고온일이 지구 온도가 2℃ 높아지면 약 6일로 약 3배 늘어날 것으로 예측됐다. 1.5℃로 온난화를 줄일 경우 약 4일로 다소 둔화됐다(그림 2).
민승기 교수는 “이번 연구에서 파리협정 목표 온도에 따라 북반구의 지역별 여름 기간과 이상고온일이 얼마나 늘어나는지 확인했다”며 “특히 동아시아가 위험지역 중 하나로 밝혀졌으며, 이러한 지속적인 여름팽창에 따른 보건, 에너지, 식생 등 분야별 영향 분석과 관련 대응책 마련이 시급하다”고 말했다.
이 연구성과는 세계적인 학술지 ‘환경연구회보(Environmental Research Letters)’에 최근 게재됐다. 연구는 한국연구재단 중견연구자지원사업, 선도연구센터지원사업(SRC) 비가역적기후변화연구센터의 지원을 받아 이뤄졌다.
[이넷뉴스=박민정 기자] parkminjung@enetnews.co.kr
- "이미 늘어난 이산화탄소 줄여도 과거 기후로 돌아갈 수 없다"
- POSTECH, 탄소제로 그린암모니아 사이클링 연구센터 개소
- POSTECH 한정우 교수팀, 수성가스 전환 위한 니켈-페로브스카이트 촉매 개발
- ‘스핀 제벡’ 소자로 열에서 전기 만든다
- 수소에너지 만드는 ‘버블’, 자유롭게 조절 가능해져
- 이중구조 페로브스카이트, ‘탄소 중립’ 앞당긴다
- 싸고 흔한 니켈로 수소에너지 만든다
- 국내 연구진, 신재생에너지 혁신 이끈다
- 독특한 전기적 특성 가지는 다윗의 별 모양 격자 구조 신소재 나왔다
- “물, 마시지 말고 ‘배터리’에 양보하세요”
- POSTECH 공동연구진, 그래핀 전자가속기 고에너지 빛 방출 원리 규명
기사제휴 및 보도자료 발송 ▶ news@enetnews.co.kr

